Письма в

 Эмиссия.Оффлайн

2021

 The Emissia.Offline Letters           Электронное научное издание (педагогические и психологические науки)  

Издается с 7 ноября 1995 г.  Учредитель:  Российский государственный педагогический университет им. А.И.Герцена, Санкт-Петербург

ART  3018

 2021 г., выпуск  № 12 (декабрь)


Ссылаться на эту работу следует следующим образом:
Л.С.Лисицына, Е.А.Болдырева. Модели и методы автоматизации управления индивидуальными образовательными траекториями, обеспечивающими конкурентноспособность обучаемых на рынке труда // Письма в Эмиссия.Оффлайн (The Emissia.Offline Letters): электронный научный журнал. 2021. №12 (декабрь). ART 3018. URL: http://emissia.org/offline/2021/3018.htm

_________ Шифр научной специальности 13.00.08

Выполнение  работы поддержано грантом РФФИ, проект № 19-29-14068 мк   «Информационная антропология как методологическое основание сопровождения образовательного процесса в метапредметном поле цифрового контента»

Лисицына Любовь Сергеевна
доктор технических наук, профессор, профессор факультета программной инженерии и компьютерной техники, Университет ИТМО, Санкт-Петербург
lisizina@itmo.ru

Болдырева Елена Александровна
кандидат технических наук, доцент факультета программной инженерии и компьютерной техники, Университет ИТМО, Санкт-Петербург
eaboldyreva@itmo.ru


Модели и методы для автоматизации управления индивидуальными образовательными траекториями, обеспечивающих конкурентоспособность обучаемых на рынке труда

Аннотация
В статье проанализированы основные проблемы современной практики проектирования образовательных программ и предложен подход к автоматизации управления индивидуальными образовательными траекториями в цифровом образе образовательного пространства вуза, построенном с учетом актуальных потребности рынка труда на основе интеллектуального анализа вакансий в системах онлайн-рекрутмента. Описаны модели иерархии результатов обучения и образовательного процесса в виде план-графа. Приведены результаты разработки образовательных траекторий по план-графу магистерской образовательной программы «Компьютерные системы и технологии» на примере дисциплины «Сетевые протоколы», а также результаты экспериментальных исследований, подтвердивших эффективность предложенного подхода.

Ключевые слова: модель иерархии результатов обучения, план-граф, образовательная траектория, система онлайн-рекрутмента, сетевые протоколы.

----------------

Liubov S. Lisitsyna
Doctor of Technical Sciences, Professor, Professor at Faculty of Software Engineering and Computer Systems, ITMO University, St. Petersburg
lisizina@itmo.ru

Elena A. Boldyreva
Candidate of Technical Sciences, Professor-Assistant at Faculty of Software Engineering and Computer Systems, ITMO University, St. Petersburg
eaboldyreva@itmo.ru


Models and methods for automating the management of individual educational trajectories, ensuring the competitiveness of students in the labor market

Abstract
The article analyzes the main problems of modern practice of designing educational programs. It proposes an approach to automating the individual educational trajectories management in the digital image of the educational space in higher education. The authors have built this approach taking into account the current needs of the labor market based on the intellectual analysis of vacancies in online recruitment systems. The article also describes the models of learning outcomes hierarchy and educational process in the form of a plan-graph. The results of educational trajectories development according to the plan-graph was implemented in the master's educational program "Computer systems and technologies" on the example of the discipline "Network protocols". The results of experimental studies have confirmed the effectiveness of the proposed approach.

Key words: model of the hierarchy of learning outcomes, plan-graph, educational trajectory, online recruitment system, network protocols.

----------------

Целью планирования результатов обучения (РО) является извлечение из избыточного содержания образования знаний, умений и навыков, необходимых и достаточных для формирования компетенций, определяющих в дальнейшем успешность профессиональной деятельности выпускников образовательных программ (ОП). При этом запланированные РО должны быть диагностируемы, т.е. для них должны быть предусмотрены оценочные средства, с помощью которых осуществляется контроль (измерение и оценка) достигнутых РО у каждого обучаемого. Планирование и оценка РО неразрывно связаны с процессами проектирования современных ОП, обеспечивающих подготовку конкурентоспособных на рынке труда выпускников. Следует различать ожидаемые РО, определяемые теми потребностями, которые есть у рынка труда в отношении выпускников данной ОП, и сопутствующие РО, которые обеспечивают формирование и достижение ожидаемых РО в целостном образовательном процессе.

Для выявления ожидаемых РО разработчики ОП используют, прежде всего, различные нормативные документы (действующие федеральные государственные образовательные стандарты (ФГОС), образовательные стандарты университетов (при наличии), профессиональные стандарты и т.п.), которые позволяют определить цели ОП в виде набора взаимосвязанных между собой компетенций и их компонентов. Их распределение по дисциплинам и модулям ОП (для этого часто используются так называемые матрицы компетенций) позволяют отобрать наборы вполне конкретных знаний, умений и навыков, которые, как ожидается, сформируют данные компетенции и смогут обеспечить максимальное удовлетворение потребностей рынка труда в таких специалистах. Однако, рамочность и инертность потребностей в нормативных документах, а также изменчивость содержания образования (например, для наукоемких ОП в IT-сфере наблюдается ежегодное обновление технологий, методов, языков программирования и т.п.) часто приводит к разрыву между требованиями, которые предъявляют к выпускнику ОП их преподаватели и потенциальные работодатели, что, в свою очередь, снижает конкурентоспособность выпускников на рынке труда. Это обстоятельство подтверждает и аналитический отчет ведущей российской рекрутинговой компании hh.ru [1], в котором установлено, что, например, при общем росте спроса на IT-специалистов доля вакансий для молодых специалистов составляет 11% и продолжает снижаться. Кроме того, подготовка выпускников ОП занимает продолжительное время (для бакалавров – 4 года, для магистров – 2 года). За это время достигнутые РО успевают устареть. Поэтому при планировании ожидаемых РО следует искать и использовать на практике при разработке и модернизации проектов ОП дополнительные источники, позволяющие получить сведения об актуальных потребностях рынка труда на сегодня и на ближайшую перспективу (5-10 лет).

В качестве источников актуальных потребностях рынка труда на сегодня могут служить электронные системы онлайн-рекрутмента, в которых публикуются объявления работодателей о вакансиях. Российский сектор онлайн-рекрутмента представлен сегодня большим количеством систем (hh.ru, superjob.ru, avito.ru и др.). Например, по состоянию на конец сентября 2021 года в системе онлайн-рекрутмента hh.ru опубликовано более 1,6 миллиона объявлений о вакансиях для IT-сферы, в том числе для программистов почти 10 тысяч объявлений, из них для молодых специалистов (без опыта работы) – более 800 объявлений. В текстах объявлений о вакансиях можно почерпнуть полезную информацию для разработки проектов ОП о том, какие профессиональные задачи должен уметь решать соискатель на вакантную должность и какие методы, технологии, инструменты и т.п. он должен использовать для их решений. В качестве источников об актуальных потребностях рынка труда на ближайшую перспективу могут служить форсайты (Foresight — пер. с англ. «взгляд в будущее»), которые анализируют основные тренды развития науки, техники и технологий (по отраслям) и прогнозируют изменения предметных областей подготовки специалистов. Форсайты призваны сориентировать разработчиков ОП на планирование таких ожидаемых РО, достижение которых опережает текущие потребности рынка труда и формируют готовность решать задачи, которые встанут на повестке дня к моменту окончания подготовки выпускников ОП.

В условиях цифровизации образования процессы проектирования ОП должны быть автоматизированы, а модели и методы при этом должны обеспечивать решение основной проблемы современного образования – проблемы управления траекториями обучения в цифровом образе образовательного пространства вуза для каждого студента в соответствии с профилем его ОП и с теми требованиями и ожиданиями, которые есть у его потенциальных работодателей.

Сложность и неоднозначность формализации процессов разработки цепочек «компетенция -> компоненты компетенции -> ожидаемые РО» для структурирования и построения цифрового образа образовательного пространства ОП привела к тому, что на практике здесь применяются различные онтологические подходы. Рассмотрим далее онтологический подход на основе поэтапной детализации исходных компетенций [2] и построения модели иерархии РО для проекта ОП (рис. 1).

Рис. 1. Модель иерархии результатов обучения для проекта ОП

Здесь в ходе детализации каждой исходной компетенции (корень дерева) получается набор логически связанных между собой компетенций (компонентов этих компетенций), а установленные причинно-следственные связи между компонентами различных компетенций позволяют в дальнейшем извлекать из избыточного содержания образования междисциплинарные (межпредметные) ожидаемые РО. Листья деревьев моделируют ожидаемые РО, для их идентификации предварительно можно использовать различные тарификаторы, устанавливающие ожидаемые уровни знаний, умений и навыков. С применением такого подхода для планирования РО на практике при разработке электронных курсов можно ознакомиться в учебном пособии [3], где знания планируются на следующих четырех уровнях: уровень знакомства, уровень воспроизведения и применения, уровень понимания и продуктивного применения, уровень трансформации (извлечения) новых знаний, а умения и навыки – на следующих четырех уровнях: выполнять предписанные инструкцией, алгоритмом и т.п. действия, решать типовые задачи с выбором известного метода, способа и т.п., решать нестандартные задачи путем комбинации известных методов, способов и т.п., исследовать проблемы и находить новые методы, способы их решения.

Отбор компонентов компетенций и дальнейшая идентификация ожидаемых РО должна проводиться с участием потенциальных работодателей выпускников ОП, занимающих приоритетное положение на рынке труда. Методики для организации работы сетевых сообществ преподавателей вузов и представителей рынка труда [4] позволяют автоматизировать эти процессы и дифференцировать экспертные мнения участников сообщества по отбору и установлению актуальных с точки зрения потребностей рынка труда идентификаторов ожидаемых РО.

В экспериментальном исследовании [5], проведенном в 2019 году, было разработано специальное программное средство [6], которое было использовано для поиска и обработки вакансий в электронной системе онлайн-рекрутмента hh.ru. Отличительной особенностью этого программного средства является то, что в нем для отбора вакансий используются трудовые функции из профессиональных стандартов для указанного направления подготовки, а для извлечения идентификаторов ожидаемых РО из текстовых описаний вакансий использован алгоритм кластерного анализа на основе методов лексико-семантического анализа текстов [7]. В ходе этого исследования из электронной системы hh.ru было отобрано более 11 тысяч вакансий для выпускников ОП направления подготовки «Информатика и вычислительная техника», а их интеллектуальная обработка установила 94 уникальных идентификатора ожидаемых РО (конкретных моделей, методов, технологий, инструментов и т.п., которые требуются претендентам при решении профессиональных задач у работодателей). Такой подход позволяет систематически актуализировать цели ОП (рис. 1) и извлекать из избыточного содержания образования только те сопутствующие РО, которые позволят достичь поставленные цели (ожидаемые РО с идентификацией в виде конкретных моделей, методов, технологий, инструментов и т.п.). Рассмотрим далее математическую модель для управления индивидуальными образовательными траекториями для подготовки выпускников ОП.

Отображение листьев в цифровой образ образовательного пространства Q (рис. 1) устанавливают набор состояний образовательного процесса X = {x0, x1, …, xn}, связанных с достижением запланированных ожидаемых и сопутствующих РО. Здесь состояние x0 соответствует началу подготовки выпускника ОП. Моделирование причинно-следственных связей между состояниями X в дискретном пространстве Q приводит к построению модели результатоцентрированного образовательного пространства или план-графа [8].

План-граф представляет собой ориентированный взвешенный гиперграф H(X,Р), состоящий из множества вершин Х и множества ориентированных гиперребер Р, причем вес каждого гиперребра определяется трудоемкостью (зач. ед. и (или) академ. час.) реализации соответствующего содержания образования . Характерной особенностью этой модели является ее слабая связность и масштабируемость: в ней есть главный слой представления всей ОП, в котором установлены причинно-следственные связи между ожидаемыми РО, и слои представления ее отдельных частей ОП (дисциплин, модулей, курсов), в которых устанавливаются причинно-следственные связи между ее сопутствующими и ожидаемыми РО. Каждое гиперребро в главном слое план-графа неразрывно связано с содержанием дисциплины, модуля, курса, а каждое гиперребро в слое дисциплины, модуля, курса – с неделимым содержанием базового образовательного модуля (БОМ), которое является необходимым и достаточным для формирования и достижения данного РО.

Следствием этого обстоятельства является основное свойство план-графа – единственность стока для каждого гиперребра (рис. 2), моделирующего реализацию БОМ. Ориентированное гиперребро pr = (Ir ; xr)Î P имеет единственную вершину стока – xr и подмножество вершин истока – Ir ≠ Æ, Ir Ì Х\{ xr }.

Рис. 2. Сток и истоки гиперребра pr, моделирующего базовый образовательный модуль

Вариативность реализации БОМ, непосредственно предшествующих формированию РО (сток гиперребра – xr), устанавливается на множестве вершин его истока Ir. Для этого на множестве вершин истока Ir строится предикат, описывающий логическое условие того, какие РО перед началом изучения БОМ должны быть сформированы обязательно (И), а какие среди них могут быть альтернативными (ИЛИ).

Интеграция РО для многопрофильной подготовки выпускников по различным направлениям и уровням образования приводит к построению план-графа с избыточными наборами РО, что позволяет решать формально более важную задачу современного образования – задачу построения индивидуальных образовательных траекторий по плану-графу для каждого обучаемого. Другой причиной избыточности модели является включение в главный слой план-граф гиперребер, моделирующих онлайн-курсы: вершины истока каждого такого гиперребра устанавливаются по пререквизитам данного онлайн-курса (РО, которые должны быть достигнуты перед началом изучения), а его сток – по ожидаемым РО после его завершения.

Образовательная траектория – это совокупность маршрутов в подгиперграфе, построенных в план-графе между множеством ранее достигнутых обучаемым РО и множеством ожидаемых РО (целей обучения) [9]. При наличии альтернативных образовательных траекторий, в том числе и на основе онлайн-курсов для принятия решения о выборе своей индивидуальной траектории обучаемый должен располагать информацией о предпочтениях, которые есть у его потенциальных работодателей. Поясним это следующим примером.

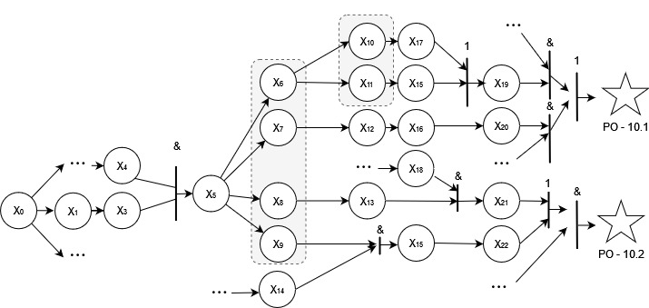
На рисунке 3 приведен фрагмент план-графа, построенного для слоя дисциплины «Сетевые протоколы» в магистерской ОП «Компьютерные системы и технологии». Здесь вершина x5 моделирует РО, предшествующий началу изучения этой дисциплины, вершины x6 – x22 – сопутствующие РО, а вершины РО-10.1 и РО-10.2 – ожидаемые РО. Для идентификации ожидаемых РО (РО-10.1 – «Анализирует сетевой трафик в многосегментной сети», РО-10.2 – «Администрирует многосегментные сети и анализирует их работу») использовались результаты интеллектуальной обработки вакансий в электронной системе онлайн-рекрутмента hh.ru. Обработка экспертных мнений разработчиков этой ОП, в том числе потенциальных работодателей ее выпускников установила набор следующих актуальных инструментов для формирования ожидаемых РО: Ptolemy – для РО-10.1 и РО-10.2, Wireshark и PingPlotter – для РО-10.1, PacketTracer – для РО-10.2.

Рис. 3. Фрагмент план-графа для дисциплины «Сетевые протоколы»

В подгиперграфе (рис. 4), порождаемым маршрутами между вершиной x5 и вершинами РО-10.1 и РО-10.2, есть различные варианты маршрутов для образовательных траекторий (синим цветом показаны маршруты, связанные с использованием Ptolemy, а зеленым цветом – с использованием Wireshark, PingPlotter, PacketTracer). Испытанием для ожидаемых РО в этой дисциплине является курсовой проект с типовыми темами: «Разработка модели многосегментной сети с динамической маршрутизацией OSPF (или RIPv2) для офисного здания», «Моделирование протокола маршрутизации OSPF для многосегментной сети» и т.п.

Рис. 4. Фрагмент план-графа для дисциплины «Сетевые протоколы» с различными траекториями достижения ожидаемых РО

В экспериментальном исследовании [10] магистранты были поделены на две равноценные по успеваемости группы: первая группа прошла обучение по образовательной траектории синего цвета, а вторая – по образовательной траектории зеленого цвета (рис. 4.2.5). Для оценки курсовых проектов было привлечено 15 представителей российского рынка труда, занимающихся проектированием и созданием многосегментных сетей на практике. Результаты обработки их мнений о близости задач, решаемых студентами в рамках выполнения курсовых проектов, и задач, которые решаются специалистами в их организациях, представлены в следующей таблице.

Образовательная траектория

Количество студентов

Степень близости достигнутых РО к профессиональным задачам

синяя 44 0,722
зеленая 39 0,891

Очевидно, что студенты, использовавшими инструменты Wireshark, PingPlotter, PacketTracer при решении задач в курсовых проектах, будут иметь конкурентные преимущества при трудоустройстве на 16,9% по сравнению со студентами, использовавшими Ptolemy. Эта информация была использована в 2021 году для рекомендаций магистрантам при выборе образовательных траекторий в дисциплине «Сетевые протоколы».


Литература

  1. Рынок труда молодых специалистов: что изменилось за 10 лет? – [Электронный ресурс]. URL: https://spb.hh.ru/article/24558 [Дата обращения 01.12.2021]

  2. Васильев В.Н., Лисицына Л.С., Шехонин А.А. Концептуальная модель для извлечения результатов обучения из избыточного содержания образования // Научно-технический вестник информационных технологий, механики и оптики. 2010. Вып. 4 (68). С. 104-108.

  3. Лисицына Л.С. Педагогический дизайн электронных курсов. – СПб: Университет ИТМО, 2018. – 67 с.

  4. Болдырева Е.А. Подход к вопросу автоматизации процессов проектирования практикума на основе мнений работодателей // Вестник Астраханского государственного технического университета. Серия: Управление, вычислительная техника и информатика. 2020. № 1. С. 94-104.

  5. Boldyreva E.A., Lisitsyna L., Kholoshnia V.D. Method of Planned Learning Outcomes Identification in Higher Education Based on Intellectual Analysis of Labor Market Needs // Smart Innovation, Systems and Technologies. 2021. Vol. 240. pp. 63-73.

  6. Болдырева Е.А., Холошня В.Д. Программное средство для поиска в системах онлайн-рекрутинга вакансий, соответствующих профессиональным стандартам. Свидетельство о государственной регистрации программы для ЭВМ № 2020616420 от 17.06.2020.

  7. Kholoshnia V., Boldyreva E. Approach to Relevant Data Providing for the Pedagogical Design in Knowledge-Intensive Areas // Smart Innovation, Systems and Technologies. 2021. Vol. 240. pp. 41-50.

  8. Лисицына Л.С. Теория и практика компетентностного обучения и аттестаций на основе сетевых информационных систем. СПб.: СПбГУ ИТМО, 2006. 147 с.

  9. Boldyreva E.A., Lisitsyna L. Educational Trajectories Modeling for Practice-Oriented Higher Education // Smart Innovation, Systems and Technologies - 2021, Vol. 240, pp. 19-28.

  10. Болдырева Е.А. Управление образовательными траекториями в вузе на основе интеллектуального анализа потребностей рынка труда: дис. ... канд. техн. наук : 05.13.10 / Болдырева Елена Александровна. - СПб., 2020. - 296с.

Рекомендовано к публикации:
Е.В.Пискунова, доктор педагогических наук, член Редакционной Коллегии

Literature

  1. Rynok truda molodykh spetsialistov: chto izmenilos' za 10 let? – [Elektronnyy resurs]. URL: https://spb.hh.ru/article/24558 [Data obrashcheniya 01.12.2021]
  2. Vasil'yev V.N., Lisitsyna L.S., Shekhonin A.A. Kontseptual'naya model' dlya izvlecheniya rezul'tatov obucheniya iz izbytochnogo soderzhaniya obrazovaniya // Nauchno-tekhnicheskiy vestnik informatsionnykh tekhnologiy, mekhaniki i optiki. 2010. Vyp. 4 (68). S. 104-108.
  3. Lisitsyna L.S. Pedagogicheskiy dizayn elektronnykh kursov. – SPb: Universitet ITMO, 2018. – 67 s.
  4. Boldyreva Ye.A. Podkhod k voprosu avtomatizatsii protsessov proyektirovaniya praktikuma na osnove mneniy rabotodateley // Vestnik Astrakhanskogo gosudarstvennogo tekhnicheskogo universiteta. Seriya: Upravleniye, vychislitel'naya tekhnika i informatika. 2020. № 1. S. 94-104.
  5. Boldyreva E.A., Lisitsyna L., Kholoshnia V.D. Method of Planned Learning Outcomes Identification in Higher Education Based on Intellectual Analysis of Labor Market Needs // Smart Innovation, Systems and Technologies. 2021. Vol. 240. pp. 63-73.
  6. Boldyreva Ye.A., Kholoshnya V.D. Programmnoye sredstvo dlya poiska v sistemakh onlayn-rekrutinga vakansiy, sootvetstvuyushchikh professional'nym standartam. Svidetel'stvo o gosudarstvennoy registratsii programmy dlya EVM № 2020616420 ot 17.06.2020.
  7. Kholoshnia V., Boldyreva E. Approach to Relevant Data Providing for the Pedagogical Design in Knowledge-Intensive Areas // Smart Innovation, Systems and Technologies. 2021. Vol. 240. pp. 41-50.
  8. Lisitsyna L.S. Teoriya i praktika kompetentnostnogo obucheniya i attestatsiy na osnove setevykh informatsionnykh sistem. SPb.: SPbGU ITMO, 2006. 147 s.
  9. Boldyreva E.A., Lisitsyna L. Educational Trajectories Modeling for Practice-Oriented Higher Education // Smart Innovation, Systems and Technologies - 2021, Vol. 240, pp. 19-28.
  10. Boldyreva Ye.A. Upravleniye obrazovatel'nymi trayektoriyami v vuze na osnove intellektual'nogo analiza potrebnostey rynka truda: dis. ... kand. tekhn. nauk : 05.13.10 / Boldyreva Yelena Aleksandrovna. - SPb., 2020. - 296s.

 

Copyright (C) 2021, Письма в Эмиссия.Оффлайн (The Emissia.Offline Letters): электронный научный журнал
ISSN 1997-8588 (
online). ISSN 2412-5520 (print-smart), ISSN 2500-2244 (CD-R)
Свидетельство о регистрации СМИ Эл № ФС77-33379 (000863) от 02.10.2008 от Федеральной службы по надзору в сфере связи и массовых коммуникаций
При перепечатке и цитировании просим ссылаться на " Письма в Эмиссия.Оффлайн
".
Эл.почтаemissia@mail.ru  Internet: http://www.emissia.org/  Тел.: +7-812-9817711, +7-904-3301873
Адрес редакции: 191186, Санкт-Петербург, наб. р. Мойки, 48, РГПУ им. А.И.Герцена, корп.11, к.24а
Издатель: Консультационное бюро доктора Ахаяна [ИП Ахаян А.А.], гос. рег. 306784721900012 от 07,08,2006.

Рейтинг@Mail.ru

    Rambler's Top100